그램-슈미트 과정
임의의 벡터 집합으로부터 직교집합(Orthogonal set)을 구하는 과정
- 벡터를 다른 벡터에 사영시킨 것을 이용해 직교집합을 구할 수 있다.
- 집합이 직교집합인지 확인하는 것은 집합의 각 원소들에 대해 내적을 수행하는 것으로 확인할 수 있다.

예제를 풀어볼까?
W = span{x1,x2,x3}의 직교기저를 구하여라
x1 = [1, -1, 2]
x2= [2, 0, -1]
x3 = [3, -1, -2]
x1과 x2는 내적 결과 직교집합이다.
x1 → v1, x2 → v2라 두자.
v3 = x3 - ( ( x3와 v1의 내적 / v1과 v1의 내적) * v1 ) - ( ( x3와 v2의 내적 / v2와 v2의 내적) * v2 )
v3 = [3, -1 -2] - 0 - 8/5 * [2, 0, -1]
= [ -1/5, -1, -2/5]
{v1, v2, v3} = { [1, -1, 2], {2, 0, -1}, [ -1/5, -1, -2/5] }
만약 정규직교기저(Orthonormal basis, 크기가 1인 직교기저)를 구하라고 한다면 구한 벡터들을 자신의 크기로 나누어 주면 된다.
레퍼런스 출처: https://subprofessor.tistory.com/70
[선형대수학] 그람-슈미트 과정 (Gram-Schmidt Process) 예제
그람-슈미트 과정은 임의의 벡터 집합으로부터 직교집합(Orthogonal set)을 구하는 과정입니다. 원래 가지고 있던 벡터 집합의 직교성 유무와 관계없이 한 벡터를 다른 벡터에 사영(projection)시킨 것
subprofessor.tistory.com
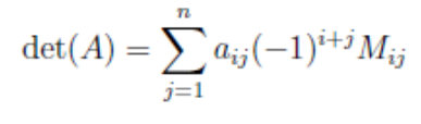
행렬식(Determinants)
정방행렬에 어떤 특정한 방법으로 하나의 수를 대응시키는 일종의 함수
|A| 아니면 det(A)로 표기

Aij : i행, j열을 제외한 submatrix
Mij = det(Aij)
→ Minor of Aij
Cij = (-1)^(i+j) * Mij
→ Cofactor of Aij
Cofactor: Minor와 행과 열의 위치의 합에 따른 부호를 곱한 것
행렬식의 성질
- 단위행렬(Identity Matrix)의 행렬식은 항상 1이다.
- 행렬 A와 전치행렬 A^T의 행렬식은 같다.
- 행렬 A의 임의의 두 행(열)을 서로 교환해서 얻어진 행렬 B의 행렬식 det(B)는 -det(A)이다.
- 행렬 A의 임의의 행(열)에 상수 t배를 한 행렬 C가 있다면 det(C) = t * det(A)이다.
- det(tA) = det(ta1, ta2, …, tan) = t^n * det(A)
- det(a1 + a1 , a2 , … , an) = det(a1, a2, … , an) + det(a1, a2, … , an)
- det(AB) = det(A)det(B)
- det(A+B) ≠ det(A) + det(B)
- 상삼각행렬(Upper Triangular Matrix)와 하삼각행렬(Lower Triangular Matrix)의 행렬식은 행렬의 대각성분을 곱한 값이다.
대각행렬(Diagonal Matrix) : 주대각성분을 제외한 나머지 원소가 0인 행렬
수반 행렬(adjoint)
Cofactor로 이루어진 행렬을 전치시킨 행렬
A
[ a11 a12 ]
[ a21 a22 ]
가 있다고 할 때
adj(A)는
[ C11 C21 ]
[ C12 C22 ]
[ a22 -a12 ]
[-a21 a11 ]
행렬식과 수반행렬로 역행렬 구하기
지금까지는 가우스-조던 소거법으로 역행렬을 구했는데, 행렬식을 사용하여 역행렬을 구할 수 있다.

여기서 C^T는 위에 있었던 adjoint이다.
3x3 일때는?

이미지 출처: https://twlab.tistory.com/43
[Linear Algebra] Lecture 20-(1) 행렬식(Determinant)과 역행렬(Inverse Matrix), 그리고 크래머 공식(Cramer's Rule)
이번 시간에 다룰 내용은 행렬식(Determinant)과 역행렬(Inverse Matrix)의 관계, 그리고 크래머 공식(Cramer's Rule)에 관한 내용이다. 지난 Lecture 18, Lecture 19에 이어 행렬식을 다루는 세 번째 강의다. 앞의
twlab.tistory.com
레퍼런스 출처: https://datalabbit.tistory.com/39
[행렬대수학] 행렬식(Determinant) 1 - 행렬식의 개념
안녕하십니까, 간토끼입니다. 이번 포스팅에서는 행렬식(Determinant)에 대해서 다뤄보겠습니다. 내용이 다소 길어 2부작으로 나누어 올리려고 합니다. 행렬식(Determinant)이란, 정방행렬(Square Matrix)
datalabbit.tistory.com
크래머 공식(Cramer’s rule)
n X n 행렬 A가 있을 때, 행렬 A의 i번째 열을 n x 1 열벡터 b로 치환한 Ai(b)가 있다.
→ i번째 열벡터를 b로 치환
A가 n X n 가역행렬일 때(역행렬이 존재할 때) 모든 n X 1 열벡터 b에 대하여 Ax = b에 대한 유일해 x는 다음 xi로 나타내지는 성분을 가진다.
xi = det Ai(b) / detA (i = 1, 2, …)
예제를 풀어볼까?
다음 연립방정식의 해를 구해보자.
3(x1) - 2(x2) = 6
-5(x1) + 4(x2) = 8
A b
[ 3 - 2] [ 6 ]
[ -5 4 ] [ 8 ]
det A를 구해주자.
3 * 4 - ( -2 * -5) = 2
det A ≠ 0이므로 가역행렬(역행렬 있음)이다.
→ 크래머 공식 사용 가능
A의 i번째 열을 b로 치환한 Ai(b)를 구해보자.
A1(b)
[ 6 -2 ]
[ 8 4 ]
A2(b)
[ 3 6 ]
[ -5 8 ]
det A1(b) = 24 + 16 = 40
det A2(b) = 24 + 30 = 54
x1 = 40 / 2 = 20
x2 = 54 / 2 = 27
레퍼런스 출처 : https://subprofessor.tistory.com/60
[선형대수학] 크래머 공식 (Cramer's Rule)
#선형대수학 크래머 공식은 Ax=b 형태의 방정식을 푸는 일종의 도구이며, 역행렬 개념을 포함합니다 1. 크래머 공식 (Cramer's Rule) 크래머, 크레이머, 크라메르 등으로 불리는 이 공식은 많은
subprofessor.tistory.com