플레이어의 이익이나 손실은 정확히 상대방들의 이익이나 손실과 균형을 이룬다.
전통적인 전략 - MinMax
- 각 상태에서 상대방의 최대 보상을 최소화하려고 시도 (나시 균형)
- 철저한 탐색
밴딧 기반 메소드
- K개의 행동/움직임 중 선택
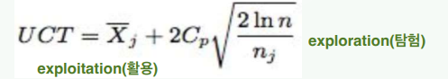
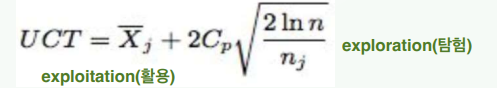
- 최상의 움직임을 계속해서 선택하여 누적 보상을 극대화해야 함 • 밴딧 기반 메소드는 가장 불확실한 가지를 **탐색(Exploration)**하고 가장 유망한 가지를 **개발(Exploitation)**하는 효율적인 트레이드오프로 알려져 있어서 트리 탐색에 사용된다. • 상한 신뢰 구간 (UCB) 밴딧 알고리즘은 트리 탐색에 적용되며 UCT (트리에 적용된 상한 신뢰 구간)라고 한다.
MCTS overview
부분 탐색 트리를 반복적으로 구축
반복
- 가장 긴급한 노드
- 트리 정책
- 탐색/개발
- 시뮬레이션
- 자식 노드 추가
- 기본 정책
- 가중치 업데이트
MCTS의 발전
Kocsis와 Szepesvari, 2006
밴딧 기반 메소드를 형식적으로 설명
보상을 근사화하기 위해 시뮬레이션을 수행
MCTS가 MinMax 솔루션으로 수렴함을 입증
상한 신뢰 구간 (UCB)
- 상한 신뢰 구간의 optical arm을 찾음
- UCT는 각 탐사된 노드에 UCB 알고리즘을 사용
상한 신뢰 트리 (UCT)는 몬테 카를로 탐색을 위한 밴딧 알고리즘의 응용이다. (USB1)
알고리즘
Selection(선택)
- 루트 노드부터 좋은 자식 노드를 선택한다.
- 루트 노드에서 시작한다.
- 트리 정책을 기반으로 자식 노드를 선택한다.
- 재귀적으로 적용 - 트리를 따라 내려간다.
- 확장 가능한 노드에 도달하면 중단한다.
- 확장 가능한 노드: 종단이 아니고 탐사되지 않은 자식을 가지고 있는 노드
- 루트 노드에서 시작한다.
Explosion(확장)
- L이 종단 노드가 아니라면 하나 이상의 자식 노드를 생성하고 하나를 선택한다. (C)
Simulation(Rollout)
- C에서 결과가 얻어질 때까지 C에서 시뮬레이션을 실행한다.
- 선택된 경로의 시뮬레이션을 실행한다.
- 시뮬레이션 종료 지점의 위치를 얻는다.
- 본 정책은 시뮬레이션을 실행하는 방식을 결정한다.
- 게임 결과는 가치를 결정한다.
Backpropagation(역전파)
- 저장된 경로를 역방향으로 이동한다.
- 노드의 가치
- 그 경로를 따라 내려가는 이점을 대표한다.
- 값은 게임 결과에 따라 업데이트된다.
- 시뮬레이션된 게임이 어떻게 끝나는지에 따라 값이 업데이트된다.

MCTS의 정책들
- 트리 정책
- 리프 노드 선택/생성
- 선택 및 확장
- 밴딧 문제!
- 기본 정책
- 게임을 끝낼 때까지 게임을 진행
- 시뮬레이션
- 최상의 자식 선택
- 최댓값(Max) (가장 높은 가중치)
- 견고한(Robust) (가장 많은 방문)
- 최댓값-견고한(Max-Robust) (두 가지, 없으면 반복)
자식 노드 선택: Multi-Arm 밴딧 문제
각 자식 선택을 위한 UCB1
UCT

- n: 현재 (부모) 노드가 방문된 횟수
- nj: 자식 j가 방문된 횟수
- Cp: 양수인 상수 (> 0)
- Xj: 이 위치를 선택한 경우의 평균 보상 [0,1]
MCTS의 장점과 단점
Aheuristic
- 도메인 특정 지식이 필요하지 않음
- 휴리스틱이 존재하는 경우 다른 알고리즘들이 더 잘 동작할 수 있음
- 체스의 경우 MinMax
- 체스는 트리 크기를 줄일 수 있는 강력한 휴리스틱을 가지고 있기 때문에 MinMax가 더 나음
Anytime
- 언제든지 MCTS 실행을 중지할 수 있음
- 최상의 행동 반환
Asymmetric
- 더 유망한 노드를 우선으로 하는 특징을 가짐
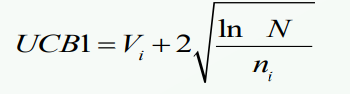
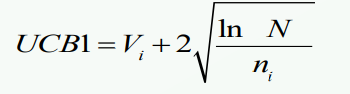
UCB for a tree

- Vi: 이 노드 아래의 모든 노드의 평균 보상/가치
- N: 부모 노드가 방문된 횟수
- Ni: 자식 노드 i가 방문된 횟수
Multiplayer MCTS
- MinMax 탐색의 중심 원칙:
- 탐색하는 플레이어는 자신의 보상을 최대화하는 움직임을 찾으려 하며, 상대방은 이를 최소화하려고 한다.
- 두 플레이어의 경우: 각 플레이어는 자신의 보상을 최대화하려고 합니다.
- 그러나 두 플레이어 이상의 경우에는 반드시 사실이 아니다.
- 플레이어 1의 손실과 플레이어 2의 이익이 반드시 플레이어 3에게 이익이 되는 것은 아닙니다.
- 그러나 두 플레이어 이상의 경우에는 반드시 사실이 아니다.
- 2명 이상의 플레이어는 zero-sum 게임을 보장하지 않습니다. • 모든 플레이어 간의 보상/손실을 완벽하게 모델링하는 방법은 없다. • 간단한 제안 - max^n
아이디어
- 노드는 보상 벡터를 저장한다.
- 그런 다음 UCB는 현재 플레이어에 따라 적절한 벡터 구성 요소를 사용하여 값을 최대화하려고 한다.
- 벡터의 구성 요소는 현재 플레이어에 따라 사용된다.
- 그러나 이러한 구성 요소가 정확하게 어떻게 결합되는 것일까?
- Cazenave는 다중 플레이어 바둑에 UCT의 여러 변형을 적용한다.
- 플레이어들이 공통적인 적을 가질 수 있기 때문에 "연합(coalition)"의 가능성을 고려한다.
- max^n을 사용하지만 연합 멤버에게 적대적일 수 있는 움직임을 고려한다.
- scoring을 변경하여 연합 돌을 플레이어 자신의 것처럼 포함시킨다.
'Study > 인공지능' 카테고리의 다른 글
| [인공지능] Genetic Algorithm Examples (1) | 2023.11.02 |
|---|---|
| [인공지능] Genetic Algorithm 요약 (2) | 2023.10.26 |
| [인공지능] Min-Max Algorithm 요약 (1) | 2023.10.25 |
| [인공지능] 탐색(Search) 요약 (0) | 2023.10.25 |
| [인공지능] 문제 표현 요약 (1) | 2023.10.25 |